MD DM DDM coal mine wear-resistant multi-stage centrifugal pump is developed by our company on the basis of introducing advanced technology.This product not only has high efficiency, good cavitation p...
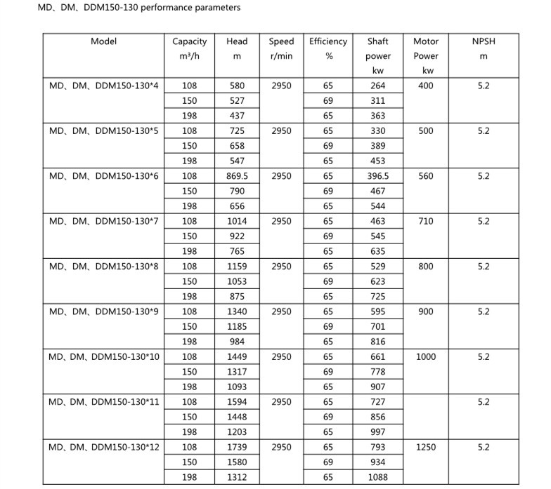
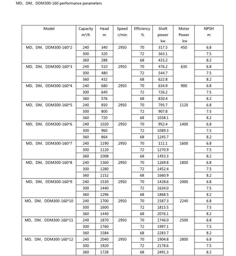
Performance rangeCapacity Q: 15-1020m³/h Head H:54-2040m Power P:11-2500kw..
Application EnvironmentSuitable for coal, mining, factories and so on. Neutral mine water and other similar media with a solid particle content of no more than 1.5% (particle size less than 0.5 mm). The temperature should be less than 40 °C...
Hotline:8613021505120
Product Characteristic
The main components: inlet section, outlet section, guide vane, outlet section guide vane, middle section, impeller, impeller retaining sleeve, shaft, bushing, seal ring, balance disc, balance ring, end cover, etc.The rotor is composed of impeller mounted on the shaft, balance disc and so on. The two ends of the rotor are supported by rolling bearings, and the bearings are made of grease.The rotor is composed of an impeller mounted on the shaft, a balance disc and the like. The two ends of the rotor are supported by rolling bearings, and the bearings are lubricated with grease.The working chamber of the pump is formed by inlet section, middle section, guide vanes, outlet section guide vanes, outlet section and end cap.The liquid enters from single side along with the direction of shaft.The axial force generated by pump operation is balanced by the balance disc.
①Shaft seal: sealed with soft packing. Mechanical seal structure are available as well according to user’s requirements.
②Transmission: The pump is directly driven by the motor through the elastic coupling. The pump rotates clockwise viewed from the direction of the motor.
③ Sealing ring: To prevent high pressure water in the pump from leaking back into the inlet.It is replaceable after wear.
④Balance disc: Located between the outlet section and the end cap for balancing axial forces.
⑤Balance ring and balance sleeve: fixed on the water outlet section.To form the balance device together with balance disc.
⑥ Shaft sleeve: located in the two packing chambers, which can be replaced after wear.









