DA1 series horizontal multistage segmented centrifugal pump is mainly used to transport clean water and liquids with physical and chemical properties similar to water.To change the materials of the im...
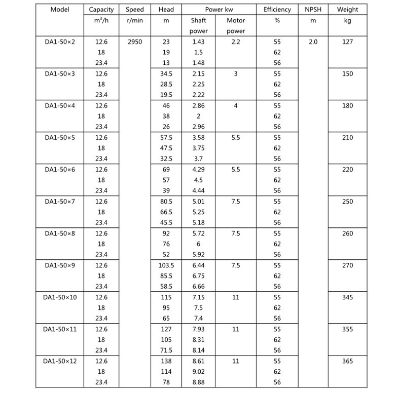
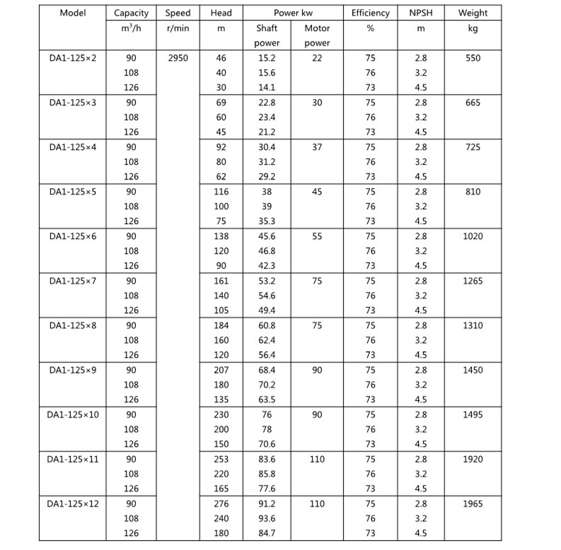
Performance rangeInlet Diameter:50-150mm Capacity Q: 12.6-180m³/h Head H: 13-333m Power P:2.2-200kw..
Application EnvironmentSuitable for industrial, civil water supply, heating system, fire protection systems, mine drainage plants and urban water supply...
Hotline:8613021505120
The DA1 series is a horizontal multistage segmented centrifugal pump. This series of pumps has the characteristics of high efficiency and small size.
For the parts, we insist on high-precision machining processes. The pump shaft is quenched and tempered,type test and factory test are performed according to related requirements.The products have been put on the market for more than 30 years and have been deeply loved by users.
The shaft seal has two options: soft packing seal and mechanical seal. The maximum temperature of the medium is 80 degrees.Materials of main parts: pressure-bearing parts such as inlet section, middle section, and outlet section - ordinary cast iron, ductile iron or stainless steel;impeller - cast iron, cast steel or stainless steel; shaft - carbon steel or stainless steel.When the pump is used in a fixed fire-fighting water pump, in order to avoid rust of the rotor parts caused by long-term pump stop, anti-rust treatment is applied to the parts where rust may occur.






